La conocida como Tasa Interna de Retorno (TIR) es la tasa de interés o rentabilidad que ofrece una inversión y se trata de unos de los métodos de evaluación de proyectos de inversión más utilizados en empresas. Va a venir expresada en forma de tanto por ciento y de este porcentaje, o bien de beneficio o de pérdida, que tendrá una inversión para las cantidades que forman parte del proyecto. En ese sentido, sirve para definir la viabilidad de un proyecto a la hora de encarar las opciones de inversión.
Es una medida que está, además, muy relacionada con el Valor Actualizado Neto (VAN), es decir, el valor de la tasa de descuento que hace que el VAN sea igual a cero para un proyecto de inversión determinado. Existen diferentes métodos de evaluación para estos proyectos que pueden ser estáticos y dinámicos, muy frecuentes en el mundo de las finanzas, y que ayudan a planificar el modelo de negocio. La TIR sería una de estas herramientas dentro de los métodos dinámicos el VAN también pertenece a este grupo- y que valora una inversión y determina si es viable o no, si es rentable o no.
La TIR es muy útil hoy en día para evaluar las opciones de inversión, ya que los cambios sociales, políticos y económicos son difíciles de predecir, y a la hora de decidir dónde invertir, esta fórmula puede servir para tomar una decisión u otra y mitigar la incertidumbre del mercado actual.
Cálculo
Antes de definir el cálculo de la TIR hay que conocer la fórmula del VAN, ya que ambos están vinculados. En concreto, el VAN calcula los flujos de caja, es decir, ingresos menos gastos netos y descuenta la tasa de interés que se podría haber obtenido, menos la inversión inicial. Al descontar la tasa de interés que se podría haber obtenido de otra inversión de menor riesgo, todo beneficio mayor a cero será en favor de la empresa respecto de la inversión de menor riesgo. Si el VAN es mayor a 0, se recomiendo invertir en el proyecto, ya que se obtiene un beneficio mayor.
Fórmula del VAN
Vt: flujos de caja en cada periodo t
Io: valor del desembolso inicial de la inversión
n: número de periodos considerado
k: costo del capital utilizado
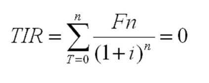
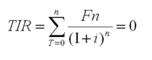
El TIR realiza el mismo cálculo llevando el VAN a cero y así se obtiene el porcentaje, que se comparará con el porcentaje de interés definido como más seguro.
Fórmula de la TIR
Qn: flujo de caja en el periodo n
n: número de períodos
I: valor de la inversión inicial
En definitiva, la TIR es una herramienta que ayudará a tomar una decisión para llevar a cabo un nuevo proyecto o no, ya que permite valorar otras opciones de rentabilidad. Es importante tener en cuenta que es una herramienta más, y no sólo la única, dentro de otros métodos existentes de evaluación de proyectos.
Si te interesa el mundo de las finanzas y te gustaría aprender mucho más, echa un vistazo a nuestro MBA Virtual Énfasis Finanzas, que forma a directivos de alto nivel capaces de tomar decisiones creativas y reales. Si necesitas información o tienes dudas al respecto, consúltanos sin compromiso.


